Tổng hợp Cách sử dụng hàm STDEV tính độ lệch chuẩn trong Excel chi tiết là conpect trong content hôm nay của Tiên Kiếm. Theo dõi content để biết chi tiết nhé.
Contents
Hàm STDEV trong Excel sẽ giúp bạn nhanh chóng xác định được độ lệch chuẩn và nếu bạn chưa biết cách sử dụng hàm này. Hãy cùng theo dõi bài viết sau để hiểu rõ hơn về cách thực hiện nhé.

Cách sử dụng hàm STDEV tính độ lệch chuẩn trong Excel chi tiết có ví dụ minh họa.
Hướng dẫn được thực hiện trên Laptop hệ điều hành Windows 10 với phiên bản Excel 2016. Bạn cũng có thể thực hiện tương tự trên các sản phẩm Excel 2007, 2010, 2013, 2016, 2109 và trên các dòng laptop có cùng hệ điều hành hay dòng MacOS có cùng thao tác khác.
I. Hàm STDEV là gì? Ứng dụng của hàm STDEV trong Excel
Hàm STDEV là một trong những hàm thống kê dùng để tính độ lệch chuẩn dựa trên mẫu và được sử dụng một cách rộng rãi trong Excel.
Ứng dụng của hàm STDEV trong Excel:
- Tính độ lệch chuẩn dựa trên mẫu số có sẵn nhanh chóng.
- Có thể kết hợp với hàm khác trong Excel để hỗ trợ công việc.
- Giúp thao tác trong Excel chuyên nghiệp hơn.
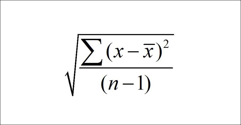
Hàm STDEV sử dụng công thức sau đây trong toán học:

Công thức hàm STDEV
Trong đó:
- x là mẫu average(number1,number2,…)
- n là cỡ mẫu.
II. Cách sử dụng hàm STDEV trong Excel
1. Cú pháp hàm
Cú pháp hàm: =STDEV(number1,[number2],…)
Trong đó:
- Number1: Là đối số dạng số đầu tiên tương ứng với mẫu tổng thể.
- Number2,…: Là đối số dạng số từ 2 đến 255 tương ứng với mẫu tổng thể. Bạn có thể thay thế các giá trị riêng lẻ bằng 1 mảng đơn hoặc tham chiếu tới 1 mảng.
Lưu ý:
- Độ lệch chuẩn được tính bằng phương pháp “n-1”.
- Đối số có thể là số hoặc tên, mảng hoặc tham chiếu có chứa số.
- Các giá trị logic và trình bày số dạng văn bản mà bạn gõ trực tiếp vào trang bảng tính thì các đối số đó sẽ được đếm.
- Nếu đối số là mảng hay tham chiếu thì chỉ các số trong mảng hay tham chiếu đó mới được tính. Còn các ô trống, giá trị lô-gic, văn bản hoặc giá trị lỗi trong mảng hoặc tham chiếu bị bỏ qua.
- Các đối số là văn bản hay giá trị lỗi không thể chuyển đổi thành số và sẽ xảy ra lỗi.
2. Cách sử dụng
Ví dụ: Tính độ lệch chuẩn doanh thu của chi nhanh các cửa hàng qua các năm trong bảng dữ liệu sau:

Dữ liệu minh họa.
Bước 1: Ở bảng dữ liệu ví dụ trên bạn nhập hàm =STDEV(D5:F5) vào ô tham chiếu “Độ lệch chuẩn” như hình nha.

Nhập hàm như hình vào ô bảng tính.
Bước 2: Bạn nhấn phím Enter để hiển thị kết quả và dùng trỏ chuột kéo xuống để hiển thị cho các sản phẩm còn lại như hình.

Nhấn Enter để hiển thị kết quả.
Trên đây là Cách sử dụng hàm STDEV tính độ lệch chuẩn trong Excel chi tiết có ví dụ minh họa. Hy vọng bài viết sẽ giúp bạn thực hiện được trong công việc cũng như học tập và nếu bạn có góp ý hãy để lại bình luận bên dưới và đứng quên chia sẻ nếu thấy hữu ích bạn nhé.